• 登录
社交账号登录

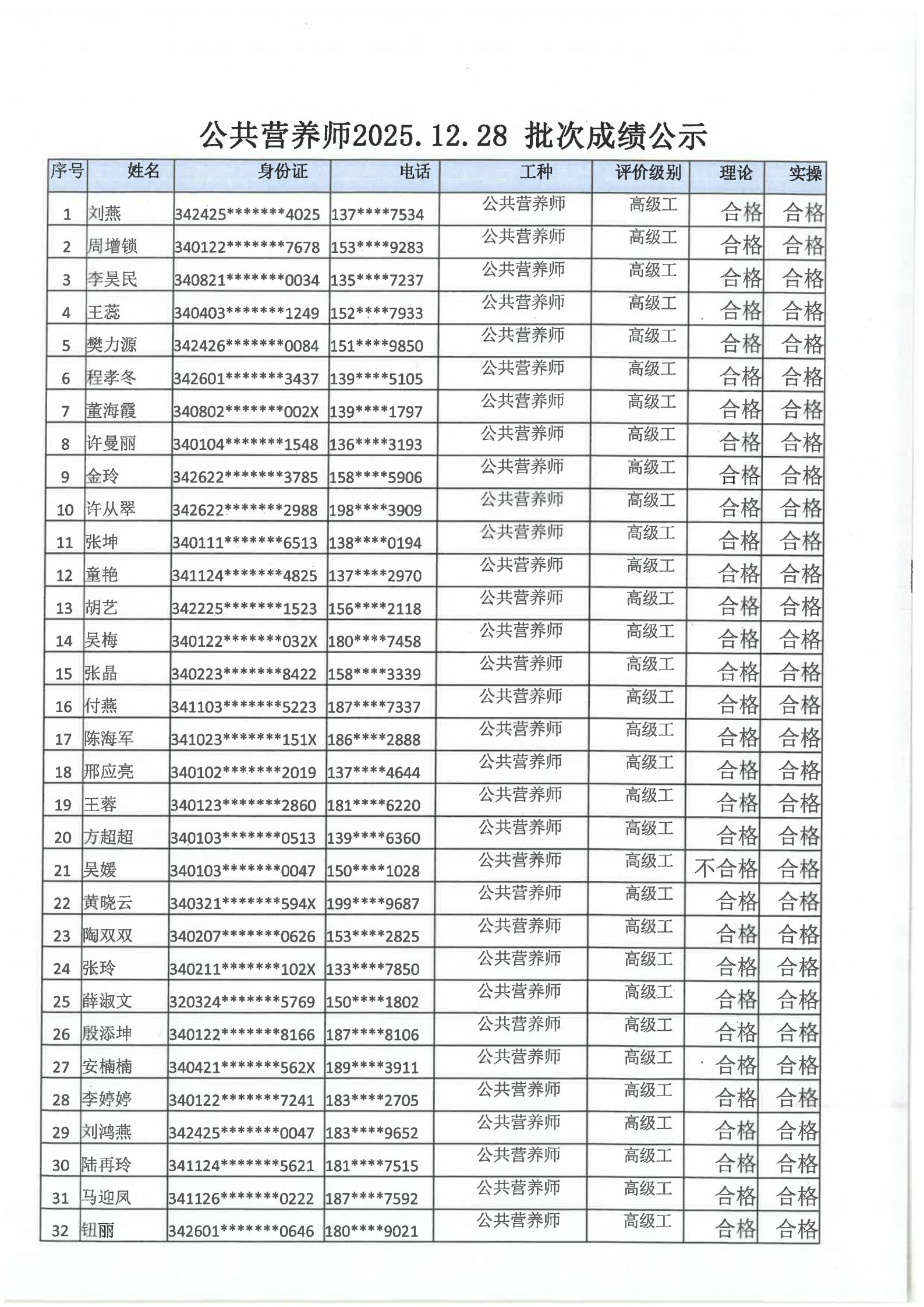
安徽省公共营养师协会2025.12.28批次公共营养师成绩公示

作者:安徽省公共营养师协会 发布时间:2026-01-12 点击数:


安徽省公共营养师协会2025.12.28批次公共营养师成绩公示(图1)

安徽省公共营养师协会2025.12.28批次公共营养师成绩公示(图2)